Metabolomics

Effortless Sample Prep Powered by Andrew+ Robot

Push the boundaries of metabolomics with confidence. From plasma to fecal samples, the Andrew+ Robot automates complex sample prep like derivatization, SPE, and more, so you can focus on results, not repetitive tasks. With intuitive setup, expert-built Click & Execute methods, and collaborative tools, you’ll spend less time on sample prep and more time on discovery.

Overview

Advancing metabolomics? Whether you’re targeting specific pathways or exploring the full metabolome, sample prep can be complex. The Andrew+ Robot, powered by OneLab Software, streamlines workflows like SPE and derivatization across diverse matrices. With intuitive setup, Click & Execute methods, and collaborative tools, you’ll boost productivity and ensure reliable, reproducible results—so you can focus on discovery, not manual sample prep.

Effortless, automated sample prep for metabolomics: Andrew+ Robot boosts efficiency and delivers reproducible results

LC-MS-based metabolomics demands complex prep across diverse matrices like plasma, CSF, urine, and feces. Techniques such as SPE, derivatization, and isotopic labeling are essential but time-consuming. Ready-to-use kits have advanced quantitative profiling, yet manual protocols remain tedious and error-prone. The Andrew+ Robot, powered by OneLab Software, transforms this process, automating workflows with intuitive setup, expert-designed Click & Execute methods, and collaborative tools. Boost efficiency, reproducibility, and confidence in your results while freeing your team to focus on discovery.

Design and run your metabolomics sample prep protocols anytime, anywhere with OneLab Software’s intuitive automation

No coding? No problem. OneLab Software makes automating metabolomics sample prep effortless with its intuitive drag-and-drop interface. From calculating dilutions to designing complex workflows like MTBE lipid extraction or SPE, OneLab simplifies it all. Access expert-built Click & Execute methods—like the one for the MxP Quant 500 Kit—and follow step-by-step guidance to get started fast. With built-in chat support and collaborative tools, OneLab enables teams to innovate together, wherever they are.

Solutions

Accelerate your metabolomics research with easy, automated sample prep

Automate complex LC-MS metabolomics prep with the Andrew+ Robot and OneLab Software, boosting efficiency, reproducibility, and confidence across diverse matrices and workflows.

Effortless protocol design for automating metabolomics sample prep

No coding needed—OneLab Software simplifies metabolomics automation with drag-and-drop design, expert-built methods, real-time support, and tools for global collaboration.

Applications

Turbocharging Metabolomics Research

Boost your metabolomics lab’s productivity with fast, reliable automated sample prep, powered by the Andrew+ Robot and intuitive OneLab Software.

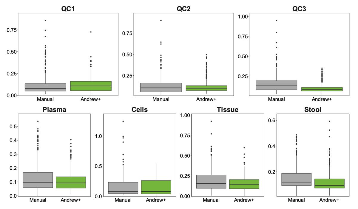
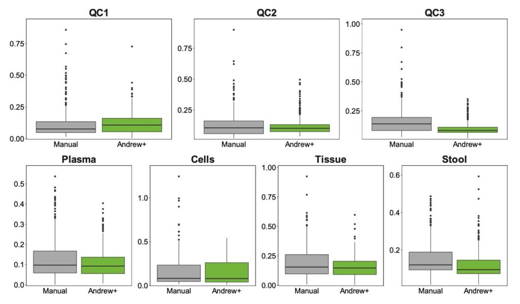
The data speaks for itself

Accelerate large-scale metabolomics with Andrew+ and OneLab’s automated MxP Quant 500 workflow—delivering high-throughput, reproducible sample prep for up to 630 metabolites with minimal hands-on time